The Ball Charge Filling tool is designed to assist in determining the Apparent Charge Level (%) within a mill. This is achieved by leveraging the mill’s geometry along with direct observations or measurements of its interior.
There are three methods available for the required calculations:
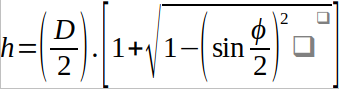
This approach involves directly measuring the Average Free Height (h) within the mill. This is the distance from the Ball Load surface to the highest point of the mill shell. To ensure accuracy, it is recommended to take multiple measurements to account for variations across the mill's interior.
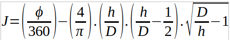
Using the mill's geometry, the following formulas can be applied if f represents the center angle between the two radii that meet at the lateral ends of the top charge surface:
Where:
This method involves measuring the cord length (S) across the visible charge surface. From this measurement, the height (h) can be calculated as follows:
J can be calculated as per the formulas in Method 1.
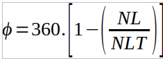
This approach requires counting the number of visible lifter bars (NL) that are not obscured by the charge. This value is then compared to the total number of lifter bars (NLT) for the liner design. Using these values, the following relationships apply:
J can be calculated as per the formulas in Method 1.